Chemical Engineering
Heat and Mass Transfer - Conduction I
Experiments
Aim
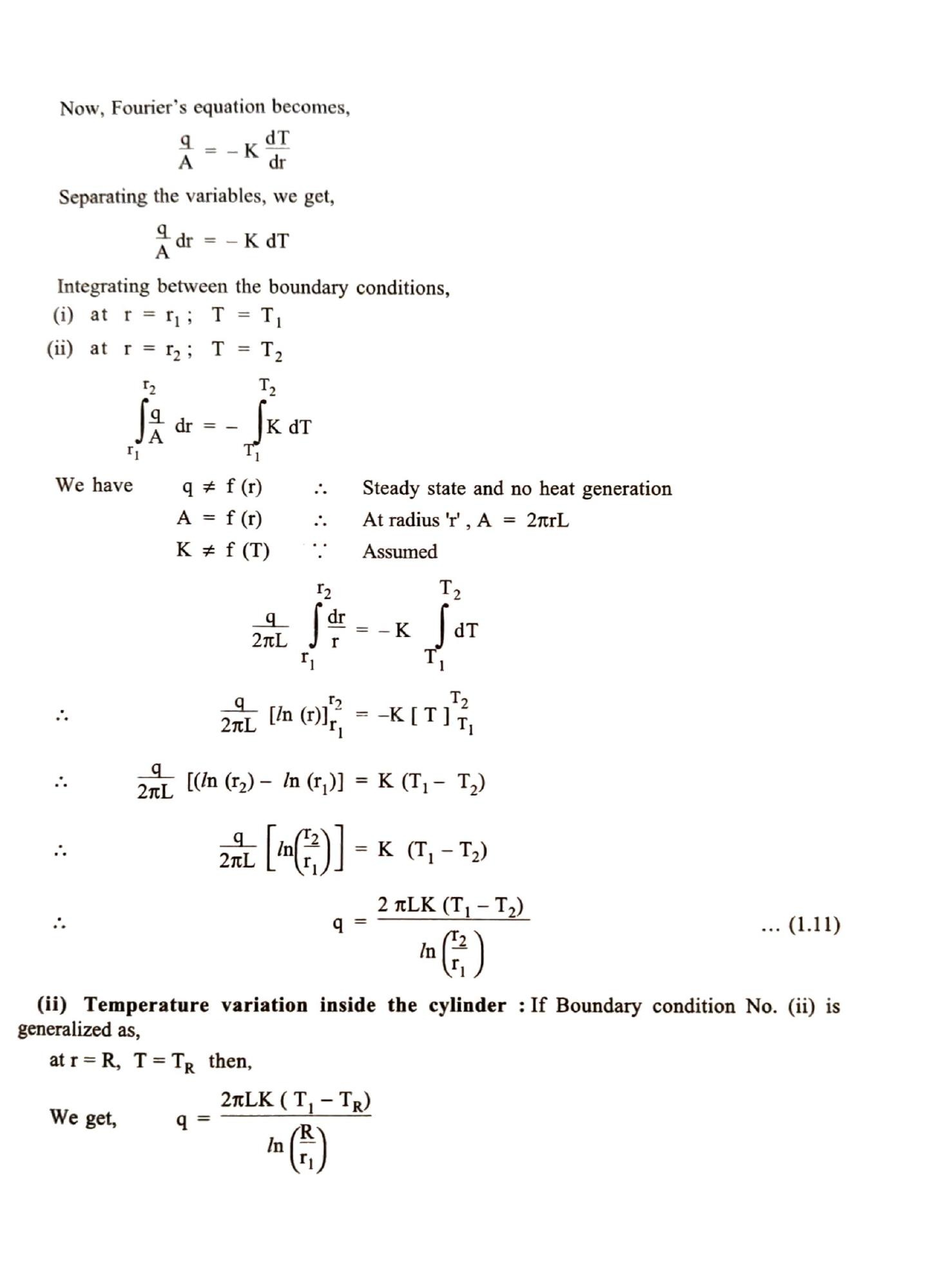
Theory
Pretest
Procedure
Simulation
Posttest
References
Contributors
Feedback
Aim
Theory
Pretest
Procedure
Simulation
Posttest
References
Contributors
Feedback
Fundamentals of Heat Conduction